首页 关于我们 律师团队 劳动法律顾问 劳动人事争议仲裁与诉讼代理 劳动法律培训 联系我们

 

未签劳动合同双倍工资 劳动合同 违约金 经济补偿金 试用期 商业秘密 竞业限制 劳动法律专业知识

 

违法解除终止双倍赔偿 规章制度 赔偿金 辞职与辞退 服务期 劳务派遣 企业管理 劳动人事争议案例

 

劳动人事争议仲裁诉讼 劳动报酬 加班费 仲裁时效性 年休假 社会保险 企业文化 人力资源管理实务

 

管理会计与长期投资决策

 

北京劳动法专业律师团队  http://www.linfuming.com/laodongfa

 
 

    长期投资决策的方法:

    投资方案评价时使用的指标分为贴现指标和非贴现指标。贴现指标是指考虑了时间价值因素的指标,主要包括净现值、现值指数、内含报酬率等。非贴现指标是指没有考虑时间价值因素的指标,主要包括回收期、会计收益期等。相应地将投资决策方法分为贴现的方法和非贴现的方法。

  贴现的分析评价方法

  贴现的分析评价方法,是指考虑货币时间价值的分析评价方法。主要有净现值法、现值指数法和内含报酬率法。

  (一)净现值法

  这种方法使用净现值作为评价方案优劣的指标。所谓净现值(NPV),是指特定方案未来现金流入的现值与未来现金流出的现值之间的差额。计算净现值NPV的公式为:

  NPV=\sum^{n}_{t=1}\frac{I_t}{(1+K^t)}\sum^{n}_{t=1}\frac{O_t}{(1+K)^t}

  式中,n--为投资涉及的年限;

   It--t年的现金流入量;

   O_t--t年的现金流出量;

   K--预定的贴现率。

  若净现值为正数,说明贴现后现金流入大于贴现后现金流出,该投资项目的报酬率大于预定的贴现率,项目是可行的;若净现值为负数,说明贴现后现金流入小于贴现后现金流出,该投资项目的报酬率小于预定的贴现率,项目是不可行的。

  (二)现值指数法

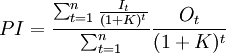
  这种方法使用现值指数作为评价方案的指标。所谓现值指数(PI),是未来现金流人现值与现金流出现值的比率,亦称现值比率、获利指数、贴现后收益一成本比率等。其计算公式为:

  PI=\frac{\sum^{n}_{t=1}\frac{I_t}{(1+K)^t}}{\sum^{n}_{t=1}}\frac{O_t}{(1+K)^t}

  式中,n--为投资涉及的年限;

   It--t年的现金流入量;

   O_t--t年的现金流出量;

   K--预定的贴现率。

  若现值指数大于1,说明贴现后现金流入大干贴现后现金流出,该投资项目的报酬率大于预定的贴现率,项目是可行的;若现值指数小于1,说明贴现后现金流入小于贴现后现金流出,该投资项目的报酬率小于预定的贴现率,项目是不可行的。

  (三)内含报酬率法

  内含报酬率法是根据方案本身内含报酬率来评价方案优劣的一种方法。所谓内含报酬率(IRR),是指能够使未来现金流人量现值等于未来现金流出量的贴现率,或者说是使方案净现值为零的贴现率,又称为内部收益率。

  若内含报酬率大于企业所要求的最低报酬率(即净现值中所使用的贴现率),就接受该投资项目;若内含报酬率小于企业所要求的最低报酬率,就放弃该项目。实际上内含报酬率大于贴现率时接受一个项目,也就是接受了一个净现值为正的项目。

  净现值法和现值指数法虽然考虑了货币时间价值,可以说明方案高于或低于某一特定的标准,但没有揭示方案本身可以达到的真实的报酬率是多少。内含报酬率法是根据方案的现金流量计算出的,是方案本身的真实投资报酬率。

    内含报酬率法的计算,通常需要使用逐步测试法,计算比较烦琐。不过在Excel中提供了计算内含报酬率法的函数,使计算变得很简单。

    企业投资决策的程序

  (一)确定投资目标

  确定企业投资目标是投资决策的前提。正确确定投资目标必须要做到:

  1、有正确的指导思想

  要在指导思想上明确为什么投资,最需要投资的环节、自身的条件与资源状况、市场环境的状况等。

  2、有全局观念

  要考虑把眼前利益与长远利益结合起来,避免"短期与近视"可能带来的影响到企业全局和长远发展的不利情况。

  3、有科学的态度

  科学的投资决策是保证投资有效性的前提。要实事求是,注重对数据资料的分析和运用,不能靠拍脑袋来决定是关重大的投资决策方案。

  (二)选择投资方向

  在明确投资目标后,就可以进一步拟定具体的投资方向。这一不也很重要,事关企业今后在哪里发展的问题。

  (三)制定投资方案

  在决定投资方向之后,就要着手制定具体的投资方案,并对方案进行可行性论证。一般情况下,可行性决策方案是要求在两个以上,因为这样可以对不同的方案进行比较分析,对方案的选择是有利的。

  (四)评价投资方案

  这一步主要是对投资风险与回报进行评价分析,由此来断定投资决策方案的可靠性如何。企业一定要把风险控制在它能够承受的范围之内,不能有过于投机或侥幸的心理,一旦企业所面临的风险超过其承受的能力,将会铸成大错,导致企业的灭亡。

  (五)投资项目选择

  狭义的投资决策就是指决定投资项目这个环节。选择的投资项目必须是由相应一级的人来承担责任。把责任落实到具体的人,这样便于投资项目的进行。

  (六)反馈调整决策方案和投资后的评价

  投资方案确定之后,还必须要根据环境和需要的不断变化,对原先的决策进行适时地调整,从而使投资决策更科学合理。